1、图3均值不等式与函数最值关系 总结与建议基础巩固熟练掌握一元一次二次不等式的解法,理解绝对值与分式不等式的转化技巧方法提升对含参数不等式,需分类讨论对恒成立问题,需结合函数最值分析综合应用注重不等式与函数数列的结合,灵活运用放缩法与不等式性质练习建议每天完成510道;1解决绝对值问题化简求值方程不等式函数,把含绝对值的问题转化为不含绝对值的问题具体转化方法有1分类讨论法根据绝对值符号中的数或式子的正零负分情况去掉绝对值2零点分段讨论法适用于含一个字母的多个绝对值的情况3两边平方法适用于两边非负的方程或;构造函数数形结合则能将不等式的解转化为直观形象的图形关系对于含有参数的不等式,图解法可以帮助我们清晰地进行分类整式不等式主要是线性二次不等式的解法是解不等式的基础利用不等式的性质及函数的单调性,将分式不等式绝对值不等式等转化为整式不等式组是解不等式的基本思想;无理不等式掌握其三种等价形式,通过平方开方等方法转化为有理不等式求解指数与对数不等式掌握几种基本类型,如指数函数的单调性对数函数的性质等,结合这些性质求解不等式含绝对值不等式的解法正确分类根据绝对值的定义,将含绝对值的不等式转化为不含绝对值的不等式组进行求解掌握基本。
2、图2函数 y = x + frac4x 的图像,最小值在 x=2 处取得例4绝对值不等式 2x 1 lt 3 解根据绝对值定义拆分为 3 lt 2x 1 lt 3 ,解得 1 lt x lt 2 三学习建议基础巩固熟练掌握不等式性质与解法,通过基础题建立信心专项突破;解法将绝对值不等式转化为普通不等式组进行求解4 命题与逻辑连词命题可以判断真假的陈述句四种命题原命题逆命题否命题逆否命题逻辑连词且表示两个命题同时为真时,整个复合命题为真或表示两个命题中至少有一个为真时,整个复合命题为真非表示命题的真假性取反量词全称量词表示对所有元素都成立的命题,如;在数学学习和应用中,不等式都是不可或缺的一部分3在学习不等式时,需要掌握一些基本的不等式定理和性质,例如均值不等式绝对值不等式三角不等式等等,同时还需要掌握一些解决不等式问题的方法和技巧,例如放缩法数学归纳法比较法分析法等等不等式是数学推导和证明中的重要工具;不等式的性质理解并掌握不等式的性质,包括加法性质乘法性质除法性质等不等式的解法掌握一元一次不等式一元二次不等式分式不等式绝对值不等式等常见不等式的解法不等式的应用了解不等式在解决实际问题中的应用,如求函数的定义域值域等七立体几何初步 空间几何体理解空间几何。
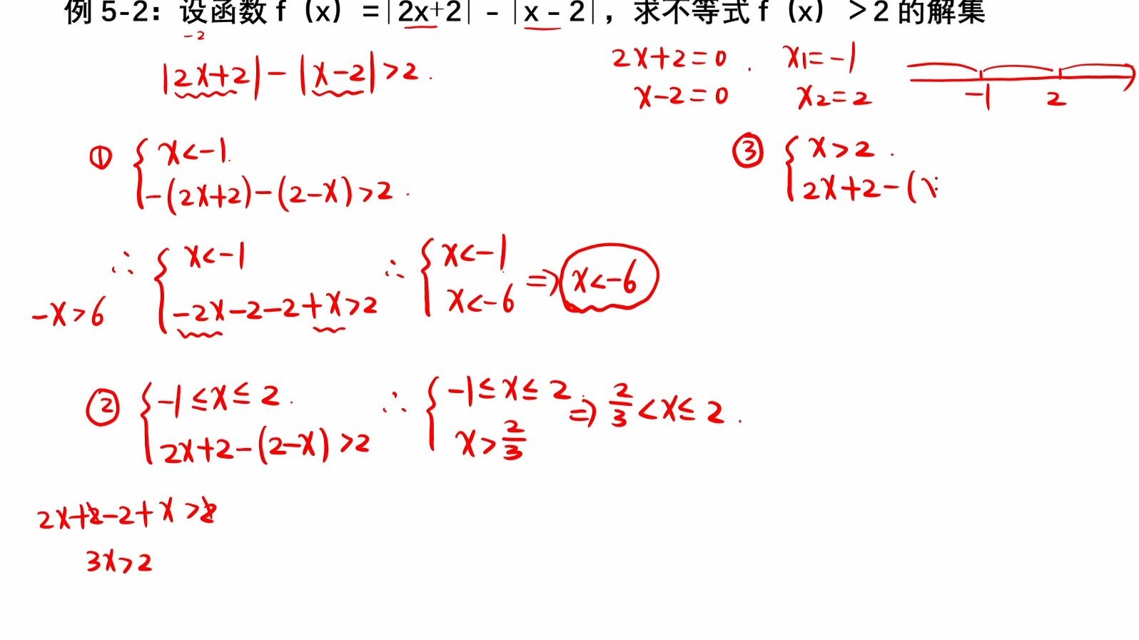
3、高中数学解题技巧有解决绝对值问题代数式求值解含参方程一元二次不等式的解法,具体如下一解决绝对值问题 主要包括化简求值方程不等式函数等题,基本思路是把含绝对值的问题转化为不含绝对值的问题具体转化方法有1分类讨论法根据绝对值符号中的数或式子的正零负分情况去掉;检验结果代入原题验证答案是否合理如解不等式时检查解集是否满足定义域示例解 sqrtx1 2 ,得 x 5 ,需检验 x=5 时是否满足原式不满足,因等号不成立三题型技巧针对不同题型的高效解法选择题排除法通过特殊值如 x=0 x=1 或选项矛盾;取并集将各个区间内的解集取并集,得到原不等式的解集通过利用绝对值的几何意义,可以更直观地理解绝对值不等式,从而简化解题过程;不等式解法 1不等式的基本性质8 条 2一元二次不等式的解法注意讨论 求一元二次不等式ax 2 + bx + c 0或 lt06含有两个或两个以上绝对值的不等式的解 法 规律找零点划区间分段讨论去绝对值每段 中取交集,最后取各段的并集7无理不等式的解法转化;这道题其实是考绝对值的概念及解法数轴上一个数所对应的点与原点O点的距离叫做该数的绝对值正数的绝对值是它本身负数的绝对值是它的相反数0的绝对值是0解绝对值不等式必须设法化去式中的绝对值符号,转化为一般代数式类型来解即,3x,lt5 5lt3xlt5 2ltxlt8 即2,8。

4、3对绝对值不等式一定要分清两种情况下的解是“或”是“且”,是“或”最后的解要求并集,是“且”最后的解要求交集4解不等式时一定要注意“是否有=”5有关计算的要求移项去括号通分数学数学,经常被缩写为math或maths,是研究数量结构变化空间以及信息等概念的一门;6并集 数学表达式 7空集 它的性质1 28如果一个集合A有n个元素CradA=n,那么它有个 个子集, 个非空真子集 注1元素与集合间的关系用 符号表示2集合与集合间的关系用 符号表示 解不等式1 绝对值不等式的解法1公式法fxgx fx。



发表评论